June 29, 2007
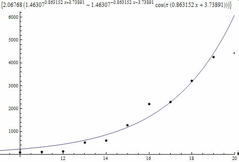
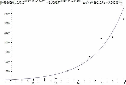
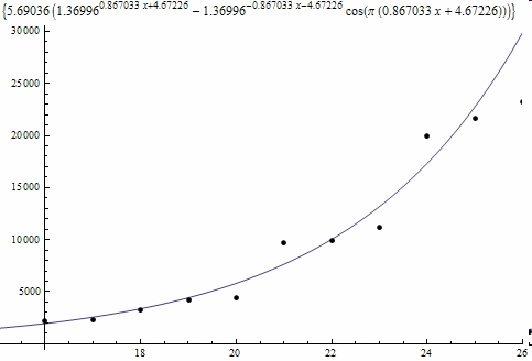
Below, I graph several approximation formulas for subsets of mp's.
They do a great job of interpolating respective primes!